Pelalawan – TUNTASNUSANTARA.com || Penyidikan dugaan tindak pidana menggunakan surat palsu dalam proses pendaftaran sebagai Calon Anggota DPRD Kabupaten Pelalawan tahun 2019 dan 2024 memasuki tahap krusial. Penyidik Polres Pelalawan memastikan akan menggelar gelar perkara kedua setelah memeriksa ahli Hukum Administrasi Negara (HAN) dan Kantor Urusan Agama (KUA) Kecamatan Pangkalan Kuras.
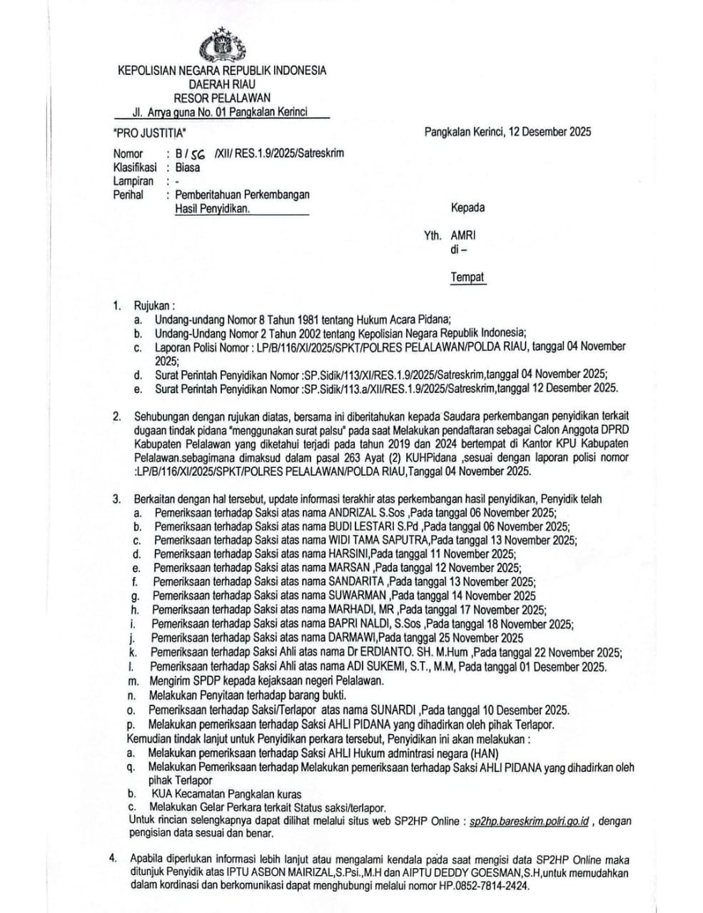
Kasus ini tercatat dalam Laporan Polisi Nomor: LP/B/116/XI/2025/SPKT/Polres Pelalawan/Polda Riau tertanggal 4 November 2025, dengan dugaan pelanggaran Pasal 263 Ayat (2) KUHP tentang penggunaan surat palsu.
Penyidik menegaskan bahwa pemeriksaan keterangan ahli menjadi syarat mutlak sebelum penyidik mengambil kesimpulan hukum lanjutan.
“Belum, Bang. Masih harus memeriksa ahli HAN dan KUA. Setelah itu baru kita gelar perkara lagi,” tegas Aiptu Deddy Goesman, SH, saat dikonfirmasi mengenai perkembangan penyidikan.
Pernyataan tersebut sekaligus menegaskan bahwa perkara ini belum berhenti dan masih dalam proses pendalaman secara serius oleh aparat kepolisian.
Sementara itu, Ketua Aliansi Jurnalis Anti Rasuah (AJAR) Perwakilan Provinsi Riau, Amri, menyampaikan bahwa pihaknya terus memantau dan mengawal proses hukum ini. Ia mengungkapkan telah berkoordinasi langsung dengan penyidik Polres Pelalawan terkait agenda gelar perkara lanjutan.
“Ya, hari ini saya diberitahukan langsung oleh penyidik Polres Pelalawan bahwa akan dilakukan gelar perkara kembali. Dalam gelar tersebut, ahli HAN dan pihak KUA Kecamatan Pangkalan Kuras akan dihadirkan untuk memberikan keterangan resmi,” ujar Amri kepada wartawan, Senin (5/1/2026).
Amri menegaskan, keterangan ahli HAN dan KUA memiliki bobot hukum penting karena berkaitan langsung dengan keabsahan administrasi negara dan dokumen keagamaan yang diduga digunakan dalam proses pencalonan legislatif di KPU Kabupaten Pelalawan.
Menurutnya, gelar perkara harus menjadi ruang objektif dan independen, bukan sekadar formalitas. Ia mengingatkan agar penyidik bekerja tanpa tekanan, intervensi, maupun kepentingan tertentu yang dapat mencederai keadilan.
“Gelar perkara ini harus benar-benar menilai fakta dan alat bukti secara utuh. Jangan sampai proses hukum dikaburkan oleh kepentingan apa pun,” tegasnya.
Lebih jauh, Amri mengungkapkan bahwa dalam ranah perdata, perkara ini telah memperoleh kepastian hukum melalui Putusan Mahkamah Agung Republik Indonesia Nomor 4026 K/Pdt/2025. Dalam putusan tersebut, Majelis Hakim menolak permohonan kasasi Pemohon Kasasi Sunardi.
Putusan MA itu sekaligus memperbaiki Putusan Pengadilan Tinggi Riau Nomor 181/PDT/2024/PT PBR tertanggal 25 November 2024, yang sebelumnya memperbaiki Putusan Pengadilan Negeri Pelalawan Nomor 17/Pdt.G/2024/PN Plw tanggal 19 September 2024.
Dalam amar putusannya, Mahkamah Agung secara tegas menyatakan bahwa perbuatan Tergugat I yang menggunakan ijazah milik almarhum Sunardi bin Miyadi merupakan perbuatan melawan hukum. MA juga menyatakan Tergugat II terbukti melakukan perbuatan melawan hukum karena menerbitkan ijazah Universitas Lancang Kuning Nomor 14477/Unilak.05/FH/2012 tertanggal 29 September 2012 atas nama Sunardi dengan NPM 0810041600497. Sementara itu, gugatan penggugat selain dan selebihnya dinyatakan ditolak.
Dengan adanya putusan perdata yang telah berkekuatan hukum tetap tersebut, Amri menilai penyidikan pidana semestinya berjalan searah dan konsisten untuk memastikan tidak ada pelanggaran hukum yang dibiarkan tanpa pertanggungjawaban pidana.
“Penegakan hukum harus konsisten, profesional, transparan, dan akuntabel. Ini penting demi menjaga kepercayaan publik dan memastikan keadilan benar-benar ditegakkan,” pungkasnya.
Hingga berita ini diterbitkan, penyidik Polres Pelalawan masih terus mengumpulkan keterangan ahli HAN dan pihak KUA sebelum menentukan langkah hukum selanjutnya.|| TIM







